[python] 백준 1076번 저항알고리즘/백준2021. 11. 3. 19:16
Table of Contents


문제 요약 및 풀이
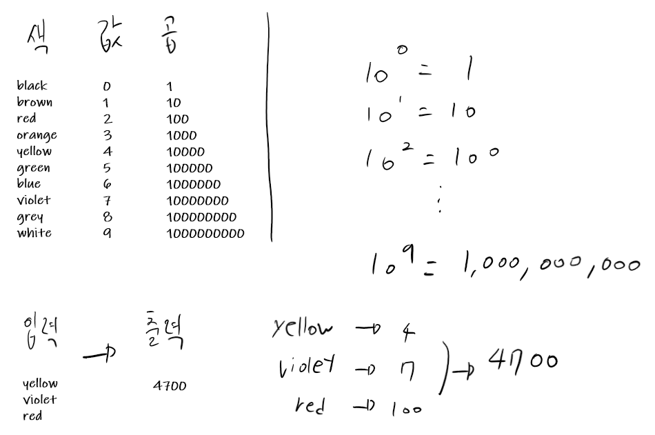
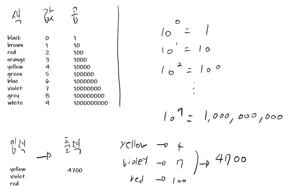
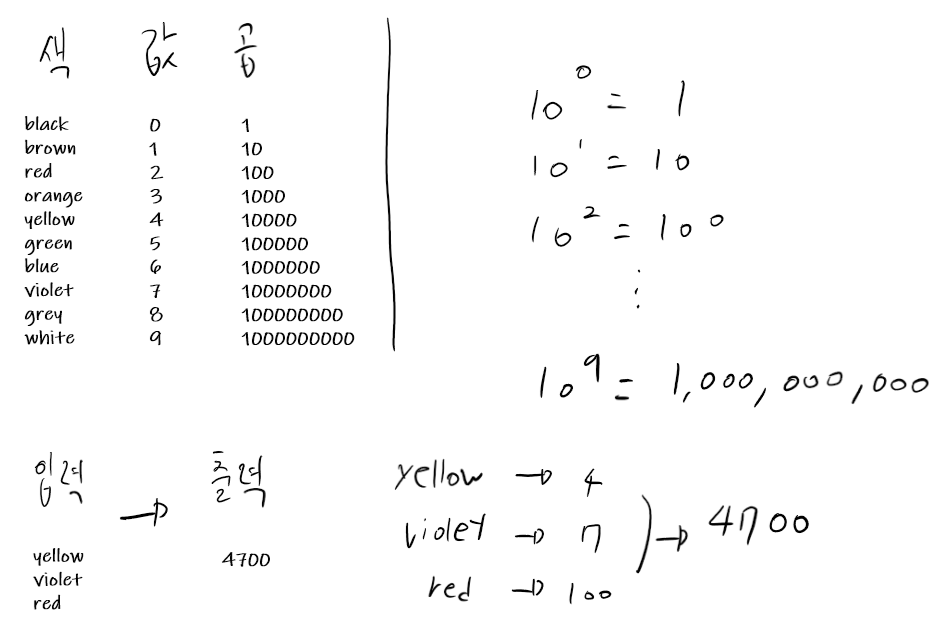
예제 1을 참고해보자.

값과 곱의 규칙은 10의 제곱수의 규칙과 같다고 볼 수 있다.
첫 번째 입력값 Yellow = 4
두번째 입력값 violet = 7
세번째 입력값 red = 100으로 출력은 4700이 된다.
마지막에 들어온 입력값은 곱으로 계산해주면 되고 나머지 입력값들은 뒤에 붙여주면 된다.
코드를 보자.
색상 값, 곱의 표를 dictionary로 표현하였고
입력이 3개라는 것을 이용하여 for문의 range가 0, 1, 2 총 3개의 범위이기 때문에 마지막 index인 2가 올 때 10의 제곱수를 곱해주도록 하였다.
ex) input -> yellow, violet, red
| 색 | yellow | violet | red |
| 배열 인덱스 | 0 | 1 | 2 |
| 값 | 4 | 7 | 100 |
| 최종 출력 | 4700 |
이처럼 딕셔너리와 반복문으로 쉽게 풀 수 있었다.
dict_s = {"black": "0",
"brown": "1",
"red": "2",
"orange": "3",
"yellow": "4",
"green": "5",
"blue": "6",
"violet": "7",
"grey": "8",
"white": "9",
}
r = ""
for x in range(3):
s = input()
if x == 2:
converter = str(10 ** int(dict_s.get(s)))
r += converter[1:]
else:
r += (dict_s.get(s))
print(int(r))
반응형
'알고리즘 > 백준' 카테고리의 다른 글
| [python] 백준 10845번 큐 (0) | 2021.11.24 |
|---|---|
| [python] 백준 1598번 꼬리를 무는 숫자 나열 (0) | 2021.11.23 |
| [python] 백준 14652번 나는 행복합니다~ (0) | 2021.10.27 |
| [python] 백준 2863번 이게 분수? (0) | 2021.10.14 |
| [python] 백준 2052번 지수연산 (0) | 2021.10.01 |
@펄찌 :: Pearl's Story
많은 생각들을 가지고 있고 사람들과 대화를 하는 것이 즐거운 펄의 스페이스입니다.
즐거운 하루 되셨으면 좋겠습니다😊