[python] 백준 15650번 N과 M (2)알고리즘/백준2022. 3. 17. 23:36
Table of Contents


문제 풀이
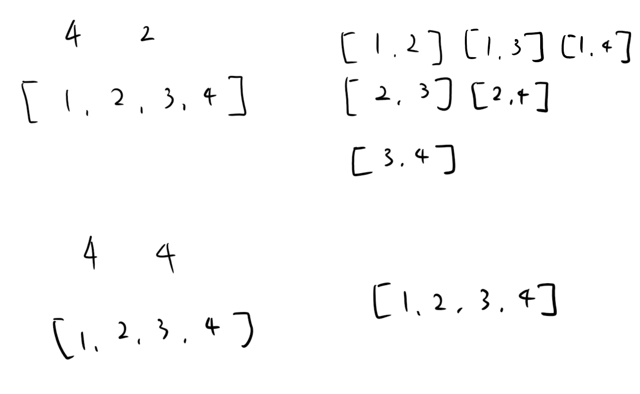
출력의 결과가 조합의 결과와 같은 것을 알 수 있다.
조합은 뽑는 순서 상관 없이 하나로 생각하는 경우로 순열과는 반대의 개념이다.
이런 문제들은 python에서 permutations(순열)와 combinations(조합) 함수를 사용하면 쉽게 구할 수 있다.

반대로 permutations에 대한 결과는 아래의 문제에서 확인해볼 수 있고 전반적인 코드의 내용이 같다.
[python] 백준 15649번 N과 M (1)
문제 풀이 N과 M의 입력이 주어지는데 N과 M의 조건은 아래와 같다. 1부터 N까지 자연수 중에서 중복 없이 M개를 고른 수열 쉽게 말해 N에 4, M에 2가 들어왔을 경우 1, 2, 3, 4 중에 2개를 고르면 아래
begin-dev-awos.tistory.com
완성된 코드!!👍😊
import re
from itertools import combinations
N, M = map(int, input().split())
numbers = list(range(1, N + 1))
for key in combinations(numbers, M):
print(re.sub(r'[^0-9\s]', '', str(key)))반응형
'알고리즘 > 백준' 카테고리의 다른 글
| [python] 백준 15651번 N과 M (3) (0) | 2022.03.19 |
|---|---|
| [python] 백준 15649번 N과 M (1) (0) | 2022.03.16 |
| [python] 백준 20044번 Project Teams (4) | 2022.03.11 |
| [python] 백준 8892번 팰린드롬 (0) | 2022.03.10 |
| [python] 백준 17219번 비밀번호 찾기 (0) | 2022.03.09 |
@펄찌 :: Pearl's Story
많은 생각들을 가지고 있고 사람들과 대화를 하는 것이 즐거운 펄의 스페이스입니다.
즐거운 하루 되셨으면 좋겠습니다😊